Opublikowano w dniu 13.03.2007 r.     Strona istnieje od
Powrót do startu

szachy Jestem na Facebook'u

szachy Jestem na platformie X


 szachy O mnie
 szachy Wywiady
 szachy Publikacje
 szachy Gra korespondencyjna
 szachy Komputery w szachach
szachyAkademia młodzieżowa

  Ciekawostki 2007
  Ciekawostki 2008
  Ciekawostki 2009
  Ciekawostki 2010
  Ciekawostki 2011
  Ciekawostki 2012
  Ciekawostki 2013
  Ciekawostki 2014
  Ciekawostki 2015
  Ciekawostki 2016
  Ciekawostki 2017
  Ciekawostki 2018
  Ciekawostki 2019
  Ciekawostki 2020
  Szachy, poker - Pozycja
  Szachy, poker - Strategia
  Szachy, poker - Błędy


  Wydarzenia roku 2007
  Wydarzenia roku 2008
  Wydarzenia roku 2009
  Wydarzenia roku 2010
  Wydarzenia roku 2011
  Wydarzenia roku 2012
  Wydarzenia roku 2013
  Wydarzenia roku 2015
  Wydarzenia roku 2016
  Wydarzenia roku 2017
  Wydarzenia roku 2018

 szachy Problemy PZSzach
 szachy Polemiki

  Jan Kochanowski
  Agata Kalinowska-Bouvy
  Jolanta Zakima-Zerek
  Ryszard Sternik
  Marek Baterowicz
  A. Paul Weber
  Alicja Karłowska-Kamzowa
  Andrzej Sitek
  Szachy i poezja
  Szachy w filmie
  Szymon Słomczyński
  Rosemarie J. Pfortner
  Od Czytelników


  Konkursy problemowe
  Konkursy taktyczne
  Nasze Słowo
  Konkurs WIO KONIKU

 szachy Galerie

 szachy Listy
 szachy Ogłoszenia
 szachy Aktualne imprezy

  Polskie sukcesy 2009
  Polskie sukcesy 2010
  Polskie sukcesy 2011
  Polskie sukcesy 2012
  Polskie sukcesy 2013


  Polskie występy 2010
  Polskie występy 2011
  Polskie występy 2012

 szachy Z teki arbitra

 szachy Z archiwum
      Ryszarda Sternika

 szachy Fotografie
      Marka Skrzypczaka


-Wiadomości ogólne
-Debiuty dla białych
-Debiuty dla czarnych
-Strategia
-Uderzenia taktyczne
-Matowe kombinacje
-Matowe schematy
-Końcówki do wygrania
-Końcówki remisowe
-Humor w szachach
-Zadania szachopodobne

 szachy Kontakt

 szachy Linki

 szachy Ankieta rocznicowa (1)
- podsumowanie

 szachy Ankieta rocznicowa (2)
- podsumowanie

 szachy Milionowa wizyta
- podsumowanie

Schach - E. Niggemann

Joachim Beyer Verlag

Dzięki tej książce dołączysz do najlepszych.
Kup TERAZ!
Literatura

Literatura i sprzęt

Literatura i sprzęt

Literatura i sprzęt

Szachowy Uniwersytet Fundacji 23
UNIKALNA ARTYSTYCZNA SZACHOWNICA

Internetowe Centrum Szachowe

Jesteś
gościem
  Stronę ogląda: 12 gości
Polskie strony szachowe
szachy
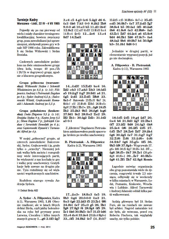
    WSPOMNIENIA SZACHOWE - ANDRZEJ FILIPOWICZ

Proponujemy Państwu interesującą lekturę wspomnień z bogatego szachowego życia Andrzeja Filipowicza, które obejmują lata 1950-?.
Kolejne odcinki kontynuowane są w miesięczniku "Magazyn Szachista" od stycznia 2010 roku.

Epizod 1 - styczeń 2010
szachy, partia, literatura szachowa, król, recenzje, szkolenie szachowe, ciekawostki, szach, wydarzenia szachowe, kultura, konkursy, kombinacje szachowe szachy, partia, literatura szachowa, król, recenzje, szkolenie szachowe, ciekawostki, szach, wydarzenia szachowe, kultura, konkursy, kombinacje szachowe szachy, partia, literatura szachowa, król, recenzje, szkolenie szachowe, ciekawostki, szach, wydarzenia szachowe, kultura, konkursy, kombinacje szachowe szachy, partia, literatura szachowa, król, recenzje, szkolenie szachowe, ciekawostki, szach, wydarzenia szachowe, kultura, konkursy, kombinacje szachowe
Epizod 2 - luty 2010
szachy, partia, literatura szachowa, król, recenzje, szkolenie szachowe, ciekawostki, szach, wydarzenia szachowe, kultura, konkursy, kombinacje szachowe szachy, partia, literatura szachowa, król, recenzje, szkolenie szachowe, ciekawostki, szach, wydarzenia szachowe, kultura, konkursy, kombinacje szachowe szachy, partia, literatura szachowa, król, recenzje, szkolenie szachowe, ciekawostki, szach, wydarzenia szachowe, kultura, konkursy, kombinacje szachowe szachy, partia, literatura szachowa, król, recenzje, szkolenie szachowe, ciekawostki, szach, wydarzenia szachowe, kultura, konkursy, kombinacje szachowe
Epizod 3 - marzec 2010
szachy, partia, literatura szachowa, król, recenzje, szkolenie szachowe, ciekawostki, szach, wydarzenia szachowe, kultura, konkursy, kombinacje szachowe szachy, partia, literatura szachowa, król, recenzje, szkolenie szachowe, ciekawostki, szach, wydarzenia szachowe, kultura, konkursy, kombinacje szachowe szachy, partia, literatura szachowa, król, recenzje, szkolenie szachowe, ciekawostki, szach, wydarzenia szachowe, kultura, konkursy, kombinacje szachowe szachy, partia, literatura szachowa, król, recenzje, szkolenie szachowe, ciekawostki, szach, wydarzenia szachowe, kultura, konkursy, kombinacje szachowe
Epizod 4 - kwiecień 2010
szachy, partia, literatura szachowa, król, recenzje, szkolenie szachowe, ciekawostki, szach, wydarzenia szachowe, kultura, konkursy, kombinacje szachowe szachy, partia, literatura szachowa, król, recenzje, szkolenie szachowe, ciekawostki, szach, wydarzenia szachowe, kultura, konkursy, kombinacje szachowe szachy, partia, literatura szachowa, król, recenzje, szkolenie szachowe, ciekawostki, szach, wydarzenia szachowe, kultura, konkursy, kombinacje szachowe szachy, partia, literatura szachowa, król, recenzje, szkolenie szachowe, ciekawostki, szach, wydarzenia szachowe, kultura, konkursy, kombinacje szachowe
Epizod 5 - maj 2010
szachy, partia, literatura szachowa, król, recenzje, szkolenie szachowe, ciekawostki, szach, wydarzenia szachowe, kultura, konkursy, kombinacje szachowe szachy, partia, literatura szachowa, król, recenzje, szkolenie szachowe, ciekawostki, szach, wydarzenia szachowe, kultura, konkursy, kombinacje szachowe szachy, partia, literatura szachowa, król, recenzje, szkolenie szachowe, ciekawostki, szach, wydarzenia szachowe, kultura, konkursy, kombinacje szachowe szachy, partia, literatura szachowa, król, recenzje, szkolenie szachowe, ciekawostki, szach, wydarzenia szachowe, kultura, konkursy, kombinacje szachowe
Epizod 6 - czerwiec 2010
szachy, partia, literatura szachowa, król, recenzje, szkolenie szachowe, ciekawostki, szach, wydarzenia szachowe, kultura, konkursy, kombinacje szachowe szachy, partia, literatura szachowa, król, recenzje, szkolenie szachowe, ciekawostki, szach, wydarzenia szachowe, kultura, konkursy, kombinacje szachowe szachy, partia, literatura szachowa, król, recenzje, szkolenie szachowe, ciekawostki, szach, wydarzenia szachowe, kultura, konkursy, kombinacje szachowe szachy, partia, literatura szachowa, król, recenzje, szkolenie szachowe, ciekawostki, szach, wydarzenia szachowe, kultura, konkursy, kombinacje szachowe
Epizod 7 - lipiec 2010
szachy, partia, literatura szachowa, król, recenzje, szkolenie szachowe, ciekawostki, szach, wydarzenia szachowe, kultura, konkursy, kombinacje szachowe szachy, partia, literatura szachowa, król, recenzje, szkolenie szachowe, ciekawostki, szach, wydarzenia szachowe, kultura, konkursy, kombinacje szachowe szachy, partia, literatura szachowa, król, recenzje, szkolenie szachowe, ciekawostki, szach, wydarzenia szachowe, kultura, konkursy, kombinacje szachowe szachy, partia, literatura szachowa, król, recenzje, szkolenie szachowe, ciekawostki, szach, wydarzenia szachowe, kultura, konkursy, kombinacje szachowe
Epizod 8 - sierpień 2010
szachy, partia, literatura szachowa, król, recenzje, szkolenie szachowe, ciekawostki, szach, wydarzenia szachowe, kultura, konkursy, kombinacje szachowe szachy, partia, literatura szachowa, król, recenzje, szkolenie szachowe, ciekawostki, szach, wydarzenia szachowe, kultura, konkursy, kombinacje szachowe szachy, partia, literatura szachowa, król, recenzje, szkolenie szachowe, ciekawostki, szach, wydarzenia szachowe, kultura, konkursy, kombinacje szachowe szachy, partia, literatura szachowa, król, recenzje, szkolenie szachowe, ciekawostki, szach, wydarzenia szachowe, kultura, konkursy, kombinacje szachowe
Epizod 9 - wrzesień 2010
szachy, partia, literatura szachowa, król, recenzje, szkolenie szachowe, ciekawostki, szach, wydarzenia szachowe, kultura, konkursy, kombinacje szachowe szachy, partia, literatura szachowa, król, recenzje, szkolenie szachowe, ciekawostki, szach, wydarzenia szachowe, kultura, konkursy, kombinacje szachowe szachy, partia, literatura szachowa, król, recenzje, szkolenie szachowe, ciekawostki, szach, wydarzenia szachowe, kultura, konkursy, kombinacje szachowe szachy, partia, literatura szachowa, król, recenzje, szkolenie szachowe, ciekawostki, szach, wydarzenia szachowe, kultura, konkursy, kombinacje szachowe
Epizod 10 - październik 2010
szachy, partia, literatura szachowa, król, recenzje, szkolenie szachowe, ciekawostki, szach, wydarzenia szachowe, kultura, konkursy, kombinacje szachowe szachy, partia, literatura szachowa, król, recenzje, szkolenie szachowe, ciekawostki, szach, wydarzenia szachowe, kultura, konkursy, kombinacje szachowe szachy, partia, literatura szachowa, król, recenzje, szkolenie szachowe, ciekawostki, szach, wydarzenia szachowe, kultura, konkursy, kombinacje szachowe szachy, partia, literatura szachowa, król, recenzje, szkolenie szachowe, ciekawostki, szach, wydarzenia szachowe, kultura, konkursy, kombinacje szachowe
Epizod 11 - listopad 2010
szachy, partia, literatura szachowa, król, recenzje, szkolenie szachowe, ciekawostki, szach, wydarzenia szachowe, kultura, konkursy, kombinacje szachowe szachy, partia, literatura szachowa, król, recenzje, szkolenie szachowe, ciekawostki, szach, wydarzenia szachowe, kultura, konkursy, kombinacje szachowe szachy, partia, literatura szachowa, król, recenzje, szkolenie szachowe, ciekawostki, szach, wydarzenia szachowe, kultura, konkursy, kombinacje szachowe szachy, partia, literatura szachowa, król, recenzje, szkolenie szachowe, ciekawostki, szach, wydarzenia szachowe, kultura, konkursy, kombinacje szachowe szachy, partia, literatura szachowa, król, recenzje, szkolenie szachowe, ciekawostki, szach, wydarzenia szachowe, kultura, konkursy, kombinacje szachowe
Epizod 12 - grudzień 2010
szachy, partia, literatura szachowa, król, recenzje, szkolenie szachowe, ciekawostki, szach, wydarzenia szachowe, kultura, konkursy, kombinacje szachowe szachy, partia, literatura szachowa, król, recenzje, szkolenie szachowe, ciekawostki, szach, wydarzenia szachowe, kultura, konkursy, kombinacje szachowe szachy, partia, literatura szachowa, król, recenzje, szkolenie szachowe, ciekawostki, szach, wydarzenia szachowe, kultura, konkursy, kombinacje szachowe szachy, partia, literatura szachowa, król, recenzje, szkolenie szachowe, ciekawostki, szach, wydarzenia szachowe, kultura, konkursy, kombinacje szachowe
Epizod 13 - styczeń 2011
szachy, partia, literatura szachowa, król, recenzje, szkolenie szachowe, ciekawostki, szach, wydarzenia szachowe, kultura, konkursy, kombinacje szachowe szachy, partia, literatura szachowa, król, recenzje, szkolenie szachowe, ciekawostki, szach, wydarzenia szachowe, kultura, konkursy, kombinacje szachowe szachy, partia, literatura szachowa, król, recenzje, szkolenie szachowe, ciekawostki, szach, wydarzenia szachowe, kultura, konkursy, kombinacje szachowe szachy, partia, literatura szachowa, król, recenzje, szkolenie szachowe, ciekawostki, szach, wydarzenia szachowe, kultura, konkursy, kombinacje szachowe szachy, partia, literatura szachowa, król, recenzje, szkolenie szachowe, ciekawostki, szach, wydarzenia szachowe, kultura, konkursy, kombinacje szachowe
Epizod 14 - luty 2011
szachy, partia, literatura szachowa, król, recenzje, szkolenie szachowe, ciekawostki, szach, wydarzenia szachowe, kultura, konkursy, kombinacje szachowe szachy, partia, literatura szachowa, król, recenzje, szkolenie szachowe, ciekawostki, szach, wydarzenia szachowe, kultura, konkursy, kombinacje szachowe szachy, partia, literatura szachowa, król, recenzje, szkolenie szachowe, ciekawostki, szach, wydarzenia szachowe, kultura, konkursy, kombinacje szachowe szachy, partia, literatura szachowa, król, recenzje, szkolenie szachowe, ciekawostki, szach, wydarzenia szachowe, kultura, konkursy, kombinacje szachowe
Epizod 15 - marzec 2011
szachy, partia, literatura szachowa, król, recenzje, szkolenie szachowe, ciekawostki, szach, wydarzenia szachowe, kultura, konkursy, kombinacje szachowe szachy, partia, literatura szachowa, król, recenzje, szkolenie szachowe, ciekawostki, szach, wydarzenia szachowe, kultura, konkursy, kombinacje szachowe szachy, partia, literatura szachowa, król, recenzje, szkolenie szachowe, ciekawostki, szach, wydarzenia szachowe, kultura, konkursy, kombinacje szachowe szachy, partia, literatura szachowa, król, recenzje, szkolenie szachowe, ciekawostki, szach, wydarzenia szachowe, kultura, konkursy, kombinacje szachowe szachy, partia, literatura szachowa, król, recenzje, szkolenie szachowe, ciekawostki, szach, wydarzenia szachowe, kultura, konkursy, kombinacje szachowe
Epizod 16 - kwiecień 2011
szachy, partia, literatura szachowa, król, recenzje, szkolenie szachowe, ciekawostki, szach, wydarzenia szachowe, kultura, konkursy, kombinacje szachowe szachy, partia, literatura szachowa, król, recenzje, szkolenie szachowe, ciekawostki, szach, wydarzenia szachowe, kultura, konkursy, kombinacje szachowe szachy, partia, literatura szachowa, król, recenzje, szkolenie szachowe, ciekawostki, szach, wydarzenia szachowe, kultura, konkursy, kombinacje szachowe szachy, partia, literatura szachowa, król, recenzje, szkolenie szachowe, ciekawostki, szach, wydarzenia szachowe, kultura, konkursy, kombinacje szachowe
Epizod 17 - maj 2011
szachy, partia, literatura szachowa, król, recenzje, szkolenie szachowe, ciekawostki, szach, wydarzenia szachowe, kultura, konkursy, kombinacje szachowe szachy, partia, literatura szachowa, król, recenzje, szkolenie szachowe, ciekawostki, szach, wydarzenia szachowe, kultura, konkursy, kombinacje szachowe szachy, partia, literatura szachowa, król, recenzje, szkolenie szachowe, ciekawostki, szach, wydarzenia szachowe, kultura, konkursy, kombinacje szachowe szachy, partia, literatura szachowa, król, recenzje, szkolenie szachowe, ciekawostki, szach, wydarzenia szachowe, kultura, konkursy, kombinacje szachowe szachy, partia, literatura szachowa, król, recenzje, szkolenie szachowe, ciekawostki, szach, wydarzenia szachowe, kultura, konkursy, kombinacje szachowe szachy, partia, literatura szachowa, król, recenzje, szkolenie szachowe, ciekawostki, szach, wydarzenia szachowe, kultura, konkursy, kombinacje szachowe
Epizod 18 - czerwiec 2011
szachy, partia, literatura szachowa, król, recenzje, szkolenie szachowe, ciekawostki, szach, wydarzenia szachowe, kultura, konkursy, kombinacje szachowe szachy, partia, literatura szachowa, król, recenzje, szkolenie szachowe, ciekawostki, szach, wydarzenia szachowe, kultura, konkursy, kombinacje szachowe szachy, partia, literatura szachowa, król, recenzje, szkolenie szachowe, ciekawostki, szach, wydarzenia szachowe, kultura, konkursy, kombinacje szachowe szachy, partia, literatura szachowa, król, recenzje, szkolenie szachowe, ciekawostki, szach, wydarzenia szachowe, kultura, konkursy, kombinacje szachowe
Epizod 19 - lipiec 2011
szachy, partia, literatura szachowa, król, recenzje, szkolenie szachowe, ciekawostki, szach, wydarzenia szachowe, kultura, konkursy, kombinacje szachowe szachy, partia, literatura szachowa, król, recenzje, szkolenie szachowe, ciekawostki, szach, wydarzenia szachowe, kultura, konkursy, kombinacje szachowe szachy, partia, literatura szachowa, król, recenzje, szkolenie szachowe, ciekawostki, szach, wydarzenia szachowe, kultura, konkursy, kombinacje szachowe szachy, partia, literatura szachowa, król, recenzje, szkolenie szachowe, ciekawostki, szach, wydarzenia szachowe, kultura, konkursy, kombinacje szachowe szachy, partia, literatura szachowa, król, recenzje, szkolenie szachowe, ciekawostki, szach, wydarzenia szachowe, kultura, konkursy, kombinacje szachowe szachy, partia, literatura szachowa, król, recenzje, szkolenie szachowe, ciekawostki, szach, wydarzenia szachowe, kultura, konkursy, kombinacje szachowe
Epizod 20 - sierpień 2011
szachy, partia, literatura szachowa, król, recenzje, szkolenie szachowe, ciekawostki, szach, wydarzenia szachowe, kultura, konkursy, kombinacje szachowe szachy, partia, literatura szachowa, król, recenzje, szkolenie szachowe, ciekawostki, szach, wydarzenia szachowe, kultura, konkursy, kombinacje szachowe szachy, partia, literatura szachowa, król, recenzje, szkolenie szachowe, ciekawostki, szach, wydarzenia szachowe, kultura, konkursy, kombinacje szachowe szachy, partia, literatura szachowa, król, recenzje, szkolenie szachowe, ciekawostki, szach, wydarzenia szachowe, kultura, konkursy, kombinacje szachowe szachy, partia, literatura szachowa, król, recenzje, szkolenie szachowe, ciekawostki, szach, wydarzenia szachowe, kultura, konkursy, kombinacje szachowe szachy, partia, literatura szachowa, król, recenzje, szkolenie szachowe, ciekawostki, szach, wydarzenia szachowe, kultura, konkursy, kombinacje szachowe
Epizod 21 - wrzesień 2011
szachy, partia, literatura szachowa, król, recenzje, szkolenie szachowe, ciekawostki, szach, wydarzenia szachowe, kultura, konkursy, kombinacje szachowe szachy, partia, literatura szachowa, król, recenzje, szkolenie szachowe, ciekawostki, szach, wydarzenia szachowe, kultura, konkursy, kombinacje szachowe szachy, partia, literatura szachowa, król, recenzje, szkolenie szachowe, ciekawostki, szach, wydarzenia szachowe, kultura, konkursy, kombinacje szachowe szachy, partia, literatura szachowa, król, recenzje, szkolenie szachowe, ciekawostki, szach, wydarzenia szachowe, kultura, konkursy, kombinacje szachowe szachy, partia, literatura szachowa, król, recenzje, szkolenie szachowe, ciekawostki, szach, wydarzenia szachowe, kultura, konkursy, kombinacje szachowe szachy, partia, literatura szachowa, król, recenzje, szkolenie szachowe, ciekawostki, szach, wydarzenia szachowe, kultura, konkursy, kombinacje szachowe
Epizod 22 - październik 2011
szachy, partia, literatura szachowa, król, recenzje, szkolenie szachowe, ciekawostki, szach, wydarzenia szachowe, kultura, konkursy, kombinacje szachowe szachy, partia, literatura szachowa, król, recenzje, szkolenie szachowe, ciekawostki, szach, wydarzenia szachowe, kultura, konkursy, kombinacje szachowe szachy, partia, literatura szachowa, król, recenzje, szkolenie szachowe, ciekawostki, szach, wydarzenia szachowe, kultura, konkursy, kombinacje szachowe szachy, partia, literatura szachowa, król, recenzje, szkolenie szachowe, ciekawostki, szach, wydarzenia szachowe, kultura, konkursy, kombinacje szachowe szachy, partia, literatura szachowa, król, recenzje, szkolenie szachowe, ciekawostki, szach, wydarzenia szachowe, kultura, konkursy, kombinacje szachowe szachy, partia, literatura szachowa, król, recenzje, szkolenie szachowe, ciekawostki, szach, wydarzenia szachowe, kultura, konkursy, kombinacje szachowe
Epizod 23 - listopad 2011
szachy, partia, literatura szachowa, król, recenzje, szkolenie szachowe, ciekawostki, szach, wydarzenia szachowe, kultura, konkursy, kombinacje szachowe szachy, partia, literatura szachowa, król, recenzje, szkolenie szachowe, ciekawostki, szach, wydarzenia szachowe, kultura, konkursy, kombinacje szachowe szachy, partia, literatura szachowa, król, recenzje, szkolenie szachowe, ciekawostki, szach, wydarzenia szachowe, kultura, konkursy, kombinacje szachowe szachy, partia, literatura szachowa, król, recenzje, szkolenie szachowe, ciekawostki, szach, wydarzenia szachowe, kultura, konkursy, kombinacje szachowe szachy, partia, literatura szachowa, król, recenzje, szkolenie szachowe, ciekawostki, szach, wydarzenia szachowe, kultura, konkursy, kombinacje szachowe szachy, partia, literatura szachowa, król, recenzje, szkolenie szachowe, ciekawostki, szach, wydarzenia szachowe, kultura, konkursy, kombinacje szachowe
Epizod 24 - grudzień 2011
szachy, partia, literatura szachowa, król, recenzje, szkolenie szachowe, ciekawostki, szach, wydarzenia szachowe, kultura, konkursy, kombinacje szachowe szachy, partia, literatura szachowa, król, recenzje, szkolenie szachowe, ciekawostki, szach, wydarzenia szachowe, kultura, konkursy, kombinacje szachowe szachy, partia, literatura szachowa, król, recenzje, szkolenie szachowe, ciekawostki, szach, wydarzenia szachowe, kultura, konkursy, kombinacje szachowe szachy, partia, literatura szachowa, król, recenzje, szkolenie szachowe, ciekawostki, szach, wydarzenia szachowe, kultura, konkursy, kombinacje szachowe szachy, partia, literatura szachowa, król, recenzje, szkolenie szachowe, ciekawostki, szach, wydarzenia szachowe, kultura, konkursy, kombinacje szachowe szachy, partia, literatura szachowa, król, recenzje, szkolenie szachowe, ciekawostki, szach, wydarzenia szachowe, kultura, konkursy, kombinacje szachowe
Epizod 25 - styczeń 2012
szachy, partia, literatura szachowa, król, recenzje, szkolenie szachowe, ciekawostki, szach, wydarzenia szachowe, kultura, konkursy, kombinacje szachowe szachy, partia, literatura szachowa, król, recenzje, szkolenie szachowe, ciekawostki, szach, wydarzenia szachowe, kultura, konkursy, kombinacje szachowe szachy, partia, literatura szachowa, król, recenzje, szkolenie szachowe, ciekawostki, szach, wydarzenia szachowe, kultura, konkursy, kombinacje szachowe szachy, partia, literatura szachowa, król, recenzje, szkolenie szachowe, ciekawostki, szach, wydarzenia szachowe, kultura, konkursy, kombinacje szachowe szachy, partia, literatura szachowa, król, recenzje, szkolenie szachowe, ciekawostki, szach, wydarzenia szachowe, kultura, konkursy, kombinacje szachowe szachy, partia, literatura szachowa, król, recenzje, szkolenie szachowe, ciekawostki, szach, wydarzenia szachowe, kultura, konkursy, kombinacje szachowe
Epizod 26 - luty 2012
szachy, partia, literatura szachowa, król, recenzje, szkolenie szachowe, ciekawostki, szach, wydarzenia szachowe, kultura, konkursy, kombinacje szachowe szachy, partia, literatura szachowa, król, recenzje, szkolenie szachowe, ciekawostki, szach, wydarzenia szachowe, kultura, konkursy, kombinacje szachowe szachy, partia, literatura szachowa, król, recenzje, szkolenie szachowe, ciekawostki, szach, wydarzenia szachowe, kultura, konkursy, kombinacje szachowe szachy, partia, literatura szachowa, król, recenzje, szkolenie szachowe, ciekawostki, szach, wydarzenia szachowe, kultura, konkursy, kombinacje szachowe szachy, partia, literatura szachowa, król, recenzje, szkolenie szachowe, ciekawostki, szach, wydarzenia szachowe, kultura, konkursy, kombinacje szachowe szachy, partia, literatura szachowa, król, recenzje, szkolenie szachowe, ciekawostki, szach, wydarzenia szachowe, kultura, konkursy, kombinacje szachowe
Epizod 27 - marzec 2012
szachy, partia, literatura szachowa, król, recenzje, szkolenie szachowe, ciekawostki, szach, wydarzenia szachowe, kultura, konkursy, kombinacje szachowe szachy, partia, literatura szachowa, król, recenzje, szkolenie szachowe, ciekawostki, szach, wydarzenia szachowe, kultura, konkursy, kombinacje szachowe szachy, partia, literatura szachowa, król, recenzje, szkolenie szachowe, ciekawostki, szach, wydarzenia szachowe, kultura, konkursy, kombinacje szachowe szachy, partia, literatura szachowa, król, recenzje, szkolenie szachowe, ciekawostki, szach, wydarzenia szachowe, kultura, konkursy, kombinacje szachowe szachy, partia, literatura szachowa, król, recenzje, szkolenie szachowe, ciekawostki, szach, wydarzenia szachowe, kultura, konkursy, kombinacje szachowe szachy, partia, literatura szachowa, król, recenzje, szkolenie szachowe, ciekawostki, szach, wydarzenia szachowe, kultura, konkursy, kombinacje szachowe
Epizod 28 - kwiecień 2012
szachy, partia, literatura szachowa, król, recenzje, szkolenie szachowe, ciekawostki, szach, wydarzenia szachowe, kultura, konkursy, kombinacje szachowe szachy, partia, literatura szachowa, król, recenzje, szkolenie szachowe, ciekawostki, szach, wydarzenia szachowe, kultura, konkursy, kombinacje szachowe szachy, partia, literatura szachowa, król, recenzje, szkolenie szachowe, ciekawostki, szach, wydarzenia szachowe, kultura, konkursy, kombinacje szachowe szachy, partia, literatura szachowa, król, recenzje, szkolenie szachowe, ciekawostki, szach, wydarzenia szachowe, kultura, konkursy, kombinacje szachowe szachy, partia, literatura szachowa, król, recenzje, szkolenie szachowe, ciekawostki, szach, wydarzenia szachowe, kultura, konkursy, kombinacje szachowe szachy, partia, literatura szachowa, król, recenzje, szkolenie szachowe, ciekawostki, szach, wydarzenia szachowe, kultura, konkursy, kombinacje szachowe
Epizod 29 - maj 2012
szachy, partia, literatura szachowa, król, recenzje, szkolenie szachowe, ciekawostki, szach, wydarzenia szachowe, kultura, konkursy, kombinacje szachowe szachy, partia, literatura szachowa, król, recenzje, szkolenie szachowe, ciekawostki, szach, wydarzenia szachowe, kultura, konkursy, kombinacje szachowe szachy, partia, literatura szachowa, król, recenzje, szkolenie szachowe, ciekawostki, szach, wydarzenia szachowe, kultura, konkursy, kombinacje szachowe szachy, partia, literatura szachowa, król, recenzje, szkolenie szachowe, ciekawostki, szach, wydarzenia szachowe, kultura, konkursy, kombinacje szachowe szachy, partia, literatura szachowa, król, recenzje, szkolenie szachowe, ciekawostki, szach, wydarzenia szachowe, kultura, konkursy, kombinacje szachowe szachy, partia, literatura szachowa, król, recenzje, szkolenie szachowe, ciekawostki, szach, wydarzenia szachowe, kultura, konkursy, kombinacje szachowe
Epizod 30 - czerwiec 2012
szachy, partia, literatura szachowa, król, recenzje, szkolenie szachowe, ciekawostki, szach, wydarzenia szachowe, kultura, konkursy, kombinacje szachowe szachy, partia, literatura szachowa, król, recenzje, szkolenie szachowe, ciekawostki, szach, wydarzenia szachowe, kultura, konkursy, kombinacje szachowe szachy, partia, literatura szachowa, król, recenzje, szkolenie szachowe, ciekawostki, szach, wydarzenia szachowe, kultura, konkursy, kombinacje szachowe szachy, partia, literatura szachowa, król, recenzje, szkolenie szachowe, ciekawostki, szach, wydarzenia szachowe, kultura, konkursy, kombinacje szachowe szachy, partia, literatura szachowa, król, recenzje, szkolenie szachowe, ciekawostki, szach, wydarzenia szachowe, kultura, konkursy, kombinacje szachowe szachy, partia, literatura szachowa, król, recenzje, szkolenie szachowe, ciekawostki, szach, wydarzenia szachowe, kultura, konkursy, kombinacje szachowe
Epizod 31 - lipiec 2012
szachy, partia, literatura szachowa, król, recenzje, szkolenie szachowe, ciekawostki, szach, wydarzenia szachowe, kultura, konkursy, kombinacje szachowe szachy, partia, literatura szachowa, król, recenzje, szkolenie szachowe, ciekawostki, szach, wydarzenia szachowe, kultura, konkursy, kombinacje szachowe szachy, partia, literatura szachowa, król, recenzje, szkolenie szachowe, ciekawostki, szach, wydarzenia szachowe, kultura, konkursy, kombinacje szachowe szachy, partia, literatura szachowa, król, recenzje, szkolenie szachowe, ciekawostki, szach, wydarzenia szachowe, kultura, konkursy, kombinacje szachowe szachy, partia, literatura szachowa, król, recenzje, szkolenie szachowe, ciekawostki, szach, wydarzenia szachowe, kultura, konkursy, kombinacje szachowe szachy, partia, literatura szachowa, król, recenzje, szkolenie szachowe, ciekawostki, szach, wydarzenia szachowe, kultura, konkursy, kombinacje szachowe
Epizod 32 - sierpień 2012
szachy, partia, literatura szachowa, król, recenzje, szkolenie szachowe, ciekawostki, szach, wydarzenia szachowe, kultura, konkursy, kombinacje szachowe szachy, partia, literatura szachowa, król, recenzje, szkolenie szachowe, ciekawostki, szach, wydarzenia szachowe, kultura, konkursy, kombinacje szachowe szachy, partia, literatura szachowa, król, recenzje, szkolenie szachowe, ciekawostki, szach, wydarzenia szachowe, kultura, konkursy, kombinacje szachowe szachy, partia, literatura szachowa, król, recenzje, szkolenie szachowe, ciekawostki, szach, wydarzenia szachowe, kultura, konkursy, kombinacje szachowe szachy, partia, literatura szachowa, król, recenzje, szkolenie szachowe, ciekawostki, szach, wydarzenia szachowe, kultura, konkursy, kombinacje szachowe szachy, partia, literatura szachowa, król, recenzje, szkolenie szachowe, ciekawostki, szach, wydarzenia szachowe, kultura, konkursy, kombinacje szachowe
Epizod 33 - wrzesień 2012
szachy, partia, literatura szachowa, król, recenzje, szkolenie szachowe, ciekawostki, szach, wydarzenia szachowe, kultura, konkursy, kombinacje szachowe szachy, partia, literatura szachowa, król, recenzje, szkolenie szachowe, ciekawostki, szach, wydarzenia szachowe, kultura, konkursy, kombinacje szachowe szachy, partia, literatura szachowa, król, recenzje, szkolenie szachowe, ciekawostki, szach, wydarzenia szachowe, kultura, konkursy, kombinacje szachowe szachy, partia, literatura szachowa, król, recenzje, szkolenie szachowe, ciekawostki, szach, wydarzenia szachowe, kultura, konkursy, kombinacje szachowe szachy, partia, literatura szachowa, król, recenzje, szkolenie szachowe, ciekawostki, szach, wydarzenia szachowe, kultura, konkursy, kombinacje szachowe szachy, partia, literatura szachowa, król, recenzje, szkolenie szachowe, ciekawostki, szach, wydarzenia szachowe, kultura, konkursy, kombinacje szachowe
Epizod 34 - październik 2012
szachy, partia, literatura szachowa, król, recenzje, szkolenie szachowe, ciekawostki, szach, wydarzenia szachowe, kultura, konkursy, kombinacje szachowe szachy, partia, literatura szachowa, król, recenzje, szkolenie szachowe, ciekawostki, szach, wydarzenia szachowe, kultura, konkursy, kombinacje szachowe szachy, partia, literatura szachowa, król, recenzje, szkolenie szachowe, ciekawostki, szach, wydarzenia szachowe, kultura, konkursy, kombinacje szachowe szachy, partia, literatura szachowa, król, recenzje, szkolenie szachowe, ciekawostki, szach, wydarzenia szachowe, kultura, konkursy, kombinacje szachowe szachy, partia, literatura szachowa, król, recenzje, szkolenie szachowe, ciekawostki, szach, wydarzenia szachowe, kultura, konkursy, kombinacje szachowe szachy, partia, literatura szachowa, król, recenzje, szkolenie szachowe, ciekawostki, szach, wydarzenia szachowe, kultura, konkursy, kombinacje szachowe
Epizod 35 - listopad 2012
szachy, partia, literatura szachowa, król, recenzje, szkolenie szachowe, ciekawostki, szach, wydarzenia szachowe, kultura, konkursy, kombinacje szachowe szachy, partia, literatura szachowa, król, recenzje, szkolenie szachowe, ciekawostki, szach, wydarzenia szachowe, kultura, konkursy, kombinacje szachowe szachy, partia, literatura szachowa, król, recenzje, szkolenie szachowe, ciekawostki, szach, wydarzenia szachowe, kultura, konkursy, kombinacje szachowe szachy, partia, literatura szachowa, król, recenzje, szkolenie szachowe, ciekawostki, szach, wydarzenia szachowe, kultura, konkursy, kombinacje szachowe szachy, partia, literatura szachowa, król, recenzje, szkolenie szachowe, ciekawostki, szach, wydarzenia szachowe, kultura, konkursy, kombinacje szachowe szachy, partia, literatura szachowa, król, recenzje, szkolenie szachowe, ciekawostki, szach, wydarzenia szachowe, kultura, konkursy, kombinacje szachowe
Epizod 36 - grudzień 2012
szachy, partia, literatura szachowa, król, recenzje, szkolenie szachowe, ciekawostki, szach, wydarzenia szachowe, kultura, konkursy, kombinacje szachowe szachy, partia, literatura szachowa, król, recenzje, szkolenie szachowe, ciekawostki, szach, wydarzenia szachowe, kultura, konkursy, kombinacje szachowe szachy, partia, literatura szachowa, król, recenzje, szkolenie szachowe, ciekawostki, szach, wydarzenia szachowe, kultura, konkursy, kombinacje szachowe szachy, partia, literatura szachowa, król, recenzje, szkolenie szachowe, ciekawostki, szach, wydarzenia szachowe, kultura, konkursy, kombinacje szachowe szachy, partia, literatura szachowa, król, recenzje, szkolenie szachowe, ciekawostki, szach, wydarzenia szachowe, kultura, konkursy, kombinacje szachowe szachy, partia, literatura szachowa, król, recenzje, szkolenie szachowe, ciekawostki, szach, wydarzenia szachowe, kultura, konkursy, kombinacje szachowe
Epizod 37 - styczeń 2013
szachy, partia, literatura szachowa, król, recenzje, szkolenie szachowe, ciekawostki, szach, wydarzenia szachowe, kultura, konkursy, kombinacje szachowe szachy, partia, literatura szachowa, król, recenzje, szkolenie szachowe, ciekawostki, szach, wydarzenia szachowe, kultura, konkursy, kombinacje szachowe szachy, partia, literatura szachowa, król, recenzje, szkolenie szachowe, ciekawostki, szach, wydarzenia szachowe, kultura, konkursy, kombinacje szachowe szachy, partia, literatura szachowa, król, recenzje, szkolenie szachowe, ciekawostki, szach, wydarzenia szachowe, kultura, konkursy, kombinacje szachowe szachy, partia, literatura szachowa, król, recenzje, szkolenie szachowe, ciekawostki, szach, wydarzenia szachowe, kultura, konkursy, kombinacje szachowe szachy, partia, literatura szachowa, król, recenzje, szkolenie szachowe, ciekawostki, szach, wydarzenia szachowe, kultura, konkursy, kombinacje szachowe
Epizod 38 - luty 2013
szachy, partia, literatura szachowa, król, recenzje, szkolenie szachowe, ciekawostki, szach, wydarzenia szachowe, kultura, konkursy, kombinacje szachowe szachy, partia, literatura szachowa, król, recenzje, szkolenie szachowe, ciekawostki, szach, wydarzenia szachowe, kultura, konkursy, kombinacje szachowe szachy, partia, literatura szachowa, król, recenzje, szkolenie szachowe, ciekawostki, szach, wydarzenia szachowe, kultura, konkursy, kombinacje szachowe szachy, partia, literatura szachowa, król, recenzje, szkolenie szachowe, ciekawostki, szach, wydarzenia szachowe, kultura, konkursy, kombinacje szachowe szachy, partia, literatura szachowa, król, recenzje, szkolenie szachowe, ciekawostki, szach, wydarzenia szachowe, kultura, konkursy, kombinacje szachowe szachy, partia, literatura szachowa, król, recenzje, szkolenie szachowe, ciekawostki, szach, wydarzenia szachowe, kultura, konkursy, kombinacje szachowe
Epizod 39 - marzec 2013
szachy, partia, literatura szachowa, król, recenzje, szkolenie szachowe, ciekawostki, szach, wydarzenia szachowe, kultura, konkursy, kombinacje szachowe szachy, partia, literatura szachowa, król, recenzje, szkolenie szachowe, ciekawostki, szach, wydarzenia szachowe, kultura, konkursy, kombinacje szachowe szachy, partia, literatura szachowa, król, recenzje, szkolenie szachowe, ciekawostki, szach, wydarzenia szachowe, kultura, konkursy, kombinacje szachowe szachy, partia, literatura szachowa, król, recenzje, szkolenie szachowe, ciekawostki, szach, wydarzenia szachowe, kultura, konkursy, kombinacje szachowe szachy, partia, literatura szachowa, król, recenzje, szkolenie szachowe, ciekawostki, szach, wydarzenia szachowe, kultura, konkursy, kombinacje szachowe szachy, partia, literatura szachowa, król, recenzje, szkolenie szachowe, ciekawostki, szach, wydarzenia szachowe, kultura, konkursy, kombinacje szachowe
Epizod 40 - kwiecień 2013
szachy, partia, literatura szachowa, król, recenzje, szkolenie szachowe, ciekawostki, szach, wydarzenia szachowe, kultura, konkursy, kombinacje szachowe szachy, partia, literatura szachowa, król, recenzje, szkolenie szachowe, ciekawostki, szach, wydarzenia szachowe, kultura, konkursy, kombinacje szachowe szachy, partia, literatura szachowa, król, recenzje, szkolenie szachowe, ciekawostki, szach, wydarzenia szachowe, kultura, konkursy, kombinacje szachowe szachy, partia, literatura szachowa, król, recenzje, szkolenie szachowe, ciekawostki, szach, wydarzenia szachowe, kultura, konkursy, kombinacje szachowe szachy, partia, literatura szachowa, król, recenzje, szkolenie szachowe, ciekawostki, szach, wydarzenia szachowe, kultura, konkursy, kombinacje szachowe szachy, partia, literatura szachowa, król, recenzje, szkolenie szachowe, ciekawostki, szach, wydarzenia szachowe, kultura, konkursy, kombinacje szachowe
Epizod 41 - maj 2013
szachy, partia, literatura szachowa, król, recenzje, szkolenie szachowe, ciekawostki, szach, wydarzenia szachowe, kultura, konkursy, kombinacje szachowe szachy, partia, literatura szachowa, król, recenzje, szkolenie szachowe, ciekawostki, szach, wydarzenia szachowe, kultura, konkursy, kombinacje szachowe szachy, partia, literatura szachowa, król, recenzje, szkolenie szachowe, ciekawostki, szach, wydarzenia szachowe, kultura, konkursy, kombinacje szachowe szachy, partia, literatura szachowa, król, recenzje, szkolenie szachowe, ciekawostki, szach, wydarzenia szachowe, kultura, konkursy, kombinacje szachowe szachy, partia, literatura szachowa, król, recenzje, szkolenie szachowe, ciekawostki, szach, wydarzenia szachowe, kultura, konkursy, kombinacje szachowe szachy, partia, literatura szachowa, król, recenzje, szkolenie szachowe, ciekawostki, szach, wydarzenia szachowe, kultura, konkursy, kombinacje szachowe
Epizod 42 - czerwiec 2013
szachy, partia, literatura szachowa, król, recenzje, szkolenie szachowe, ciekawostki, szach, wydarzenia szachowe, kultura, konkursy, kombinacje szachowe szachy, partia, literatura szachowa, król, recenzje, szkolenie szachowe, ciekawostki, szach, wydarzenia szachowe, kultura, konkursy, kombinacje szachowe szachy, partia, literatura szachowa, król, recenzje, szkolenie szachowe, ciekawostki, szach, wydarzenia szachowe, kultura, konkursy, kombinacje szachowe szachy, partia, literatura szachowa, król, recenzje, szkolenie szachowe, ciekawostki, szach, wydarzenia szachowe, kultura, konkursy, kombinacje szachowe szachy, partia, literatura szachowa, król, recenzje, szkolenie szachowe, ciekawostki, szach, wydarzenia szachowe, kultura, konkursy, kombinacje szachowe szachy, partia, literatura szachowa, król, recenzje, szkolenie szachowe, ciekawostki, szach, wydarzenia szachowe, kultura, konkursy, kombinacje szachowe
Epizod 43 - lipiec 2013
szachy, partia, literatura szachowa, król, recenzje, szkolenie szachowe, ciekawostki, szach, wydarzenia szachowe, kultura, konkursy, kombinacje szachowe szachy, partia, literatura szachowa, król, recenzje, szkolenie szachowe, ciekawostki, szach, wydarzenia szachowe, kultura, konkursy, kombinacje szachowe szachy, partia, literatura szachowa, król, recenzje, szkolenie szachowe, ciekawostki, szach, wydarzenia szachowe, kultura, konkursy, kombinacje szachowe szachy, partia, literatura szachowa, król, recenzje, szkolenie szachowe, ciekawostki, szach, wydarzenia szachowe, kultura, konkursy, kombinacje szachowe szachy, partia, literatura szachowa, król, recenzje, szkolenie szachowe, ciekawostki, szach, wydarzenia szachowe, kultura, konkursy, kombinacje szachowe szachy, partia, literatura szachowa, król, recenzje, szkolenie szachowe, ciekawostki, szach, wydarzenia szachowe, kultura, konkursy, kombinacje szachowe
Epizod 44 - sierpień 2013
szachy, partia, literatura szachowa, król, recenzje, szkolenie szachowe, ciekawostki, szach, wydarzenia szachowe, kultura, konkursy, kombinacje szachowe szachy, partia, literatura szachowa, król, recenzje, szkolenie szachowe, ciekawostki, szach, wydarzenia szachowe, kultura, konkursy, kombinacje szachowe szachy, partia, literatura szachowa, król, recenzje, szkolenie szachowe, ciekawostki, szach, wydarzenia szachowe, kultura, konkursy, kombinacje szachowe szachy, partia, literatura szachowa, król, recenzje, szkolenie szachowe, ciekawostki, szach, wydarzenia szachowe, kultura, konkursy, kombinacje szachowe szachy, partia, literatura szachowa, król, recenzje, szkolenie szachowe, ciekawostki, szach, wydarzenia szachowe, kultura, konkursy, kombinacje szachowe szachy, partia, literatura szachowa, król, recenzje, szkolenie szachowe, ciekawostki, szach, wydarzenia szachowe, kultura, konkursy, kombinacje szachowe
Epizod 45 - wrzesień 2013
szachy, partia, literatura szachowa, król, recenzje, szkolenie szachowe, ciekawostki, szach, wydarzenia szachowe, kultura, konkursy, kombinacje szachowe szachy, partia, literatura szachowa, król, recenzje, szkolenie szachowe, ciekawostki, szach, wydarzenia szachowe, kultura, konkursy, kombinacje szachowe szachy, partia, literatura szachowa, król, recenzje, szkolenie szachowe, ciekawostki, szach, wydarzenia szachowe, kultura, konkursy, kombinacje szachowe szachy, partia, literatura szachowa, król, recenzje, szkolenie szachowe, ciekawostki, szach, wydarzenia szachowe, kultura, konkursy, kombinacje szachowe szachy, partia, literatura szachowa, król, recenzje, szkolenie szachowe, ciekawostki, szach, wydarzenia szachowe, kultura, konkursy, kombinacje szachowe szachy, partia, literatura szachowa, król, recenzje, szkolenie szachowe, ciekawostki, szach, wydarzenia szachowe, kultura, konkursy, kombinacje szachowe
Epizod 46 - październik 2013
szachy, partia, literatura szachowa, król, recenzje, szkolenie szachowe, ciekawostki, szach, wydarzenia szachowe, kultura, konkursy, kombinacje szachowe szachy, partia, literatura szachowa, król, recenzje, szkolenie szachowe, ciekawostki, szach, wydarzenia szachowe, kultura, konkursy, kombinacje szachowe szachy, partia, literatura szachowa, król, recenzje, szkolenie szachowe, ciekawostki, szach, wydarzenia szachowe, kultura, konkursy, kombinacje szachowe szachy, partia, literatura szachowa, król, recenzje, szkolenie szachowe, ciekawostki, szach, wydarzenia szachowe, kultura, konkursy, kombinacje szachowe szachy, partia, literatura szachowa, król, recenzje, szkolenie szachowe, ciekawostki, szach, wydarzenia szachowe, kultura, konkursy, kombinacje szachowe szachy, partia, literatura szachowa, król, recenzje, szkolenie szachowe, ciekawostki, szach, wydarzenia szachowe, kultura, konkursy, kombinacje szachowe
Epizod 47 - listopad 2013
szachy, partia, literatura szachowa, król, recenzje, szkolenie szachowe, ciekawostki, szach, wydarzenia szachowe, kultura, konkursy, kombinacje szachowe szachy, partia, literatura szachowa, król, recenzje, szkolenie szachowe, ciekawostki, szach, wydarzenia szachowe, kultura, konkursy, kombinacje szachowe szachy, partia, literatura szachowa, król, recenzje, szkolenie szachowe, ciekawostki, szach, wydarzenia szachowe, kultura, konkursy, kombinacje szachowe szachy, partia, literatura szachowa, król, recenzje, szkolenie szachowe, ciekawostki, szach, wydarzenia szachowe, kultura, konkursy, kombinacje szachowe szachy, partia, literatura szachowa, król, recenzje, szkolenie szachowe, ciekawostki, szach, wydarzenia szachowe, kultura, konkursy, kombinacje szachowe szachy, partia, literatura szachowa, król, recenzje, szkolenie szachowe, ciekawostki, szach, wydarzenia szachowe, kultura, konkursy, kombinacje szachowe
Epizod 48 - grudzień 2013
szachy, partia, literatura szachowa, król, recenzje, szkolenie szachowe, ciekawostki, szach, wydarzenia szachowe, kultura, konkursy, kombinacje szachowe szachy, partia, literatura szachowa, król, recenzje, szkolenie szachowe, ciekawostki, szach, wydarzenia szachowe, kultura, konkursy, kombinacje szachowe szachy, partia, literatura szachowa, król, recenzje, szkolenie szachowe, ciekawostki, szach, wydarzenia szachowe, kultura, konkursy, kombinacje szachowe szachy, partia, literatura szachowa, król, recenzje, szkolenie szachowe, ciekawostki, szach, wydarzenia szachowe, kultura, konkursy, kombinacje szachowe szachy, partia, literatura szachowa, król, recenzje, szkolenie szachowe, ciekawostki, szach, wydarzenia szachowe, kultura, konkursy, kombinacje szachowe szachy, partia, literatura szachowa, król, recenzje, szkolenie szachowe, ciekawostki, szach, wydarzenia szachowe, kultura, konkursy, kombinacje szachowe
Epizod 49 - styczeń 2014
szachy, partia, literatura szachowa, król, recenzje, szkolenie szachowe, ciekawostki, szach, wydarzenia szachowe, kultura, konkursy, kombinacje szachowe szachy, partia, literatura szachowa, król, recenzje, szkolenie szachowe, ciekawostki, szach, wydarzenia szachowe, kultura, konkursy, kombinacje szachowe szachy, partia, literatura szachowa, król, recenzje, szkolenie szachowe, ciekawostki, szach, wydarzenia szachowe, kultura, konkursy, kombinacje szachowe szachy, partia, literatura szachowa, król, recenzje, szkolenie szachowe, ciekawostki, szach, wydarzenia szachowe, kultura, konkursy, kombinacje szachowe szachy, partia, literatura szachowa, król, recenzje, szkolenie szachowe, ciekawostki, szach, wydarzenia szachowe, kultura, konkursy, kombinacje szachowe szachy, partia, literatura szachowa, król, recenzje, szkolenie szachowe, ciekawostki, szach, wydarzenia szachowe, kultura, konkursy, kombinacje szachowe
Epizod 50 - luty 2014
szachy, partia, literatura szachowa, król, recenzje, szkolenie szachowe, ciekawostki, szach, wydarzenia szachowe, kultura, konkursy, kombinacje szachowe szachy, partia, literatura szachowa, król, recenzje, szkolenie szachowe, ciekawostki, szach, wydarzenia szachowe, kultura, konkursy, kombinacje szachowe szachy, partia, literatura szachowa, król, recenzje, szkolenie szachowe, ciekawostki, szach, wydarzenia szachowe, kultura, konkursy, kombinacje szachowe szachy, partia, literatura szachowa, król, recenzje, szkolenie szachowe, ciekawostki, szach, wydarzenia szachowe, kultura, konkursy, kombinacje szachowe szachy, partia, literatura szachowa, król, recenzje, szkolenie szachowe, ciekawostki, szach, wydarzenia szachowe, kultura, konkursy, kombinacje szachowe szachy, partia, literatura szachowa, król, recenzje, szkolenie szachowe, ciekawostki, szach, wydarzenia szachowe, kultura, konkursy, kombinacje szachowe
Epizod 51 - marzec 2014
szachy, partia, literatura szachowa, król, recenzje, szkolenie szachowe, ciekawostki, szach, wydarzenia szachowe, kultura, konkursy, kombinacje szachowe szachy, partia, literatura szachowa, król, recenzje, szkolenie szachowe, ciekawostki, szach, wydarzenia szachowe, kultura, konkursy, kombinacje szachowe szachy, partia, literatura szachowa, król, recenzje, szkolenie szachowe, ciekawostki, szach, wydarzenia szachowe, kultura, konkursy, kombinacje szachowe szachy, partia, literatura szachowa, król, recenzje, szkolenie szachowe, ciekawostki, szach, wydarzenia szachowe, kultura, konkursy, kombinacje szachowe szachy, partia, literatura szachowa, król, recenzje, szkolenie szachowe, ciekawostki, szach, wydarzenia szachowe, kultura, konkursy, kombinacje szachowe szachy, partia, literatura szachowa, król, recenzje, szkolenie szachowe, ciekawostki, szach, wydarzenia szachowe, kultura, konkursy, kombinacje szachowe
Epizod 52 - kwiecień 2014
szachy, partia, literatura szachowa, król, recenzje, szkolenie szachowe, ciekawostki, szach, wydarzenia szachowe, kultura, konkursy, kombinacje szachowe szachy, partia, literatura szachowa, król, recenzje, szkolenie szachowe, ciekawostki, szach, wydarzenia szachowe, kultura, konkursy, kombinacje szachowe szachy, partia, literatura szachowa, król, recenzje, szkolenie szachowe, ciekawostki, szach, wydarzenia szachowe, kultura, konkursy, kombinacje szachowe szachy, partia, literatura szachowa, król, recenzje, szkolenie szachowe, ciekawostki, szach, wydarzenia szachowe, kultura, konkursy, kombinacje szachowe szachy, partia, literatura szachowa, król, recenzje, szkolenie szachowe, ciekawostki, szach, wydarzenia szachowe, kultura, konkursy, kombinacje szachowe szachy, partia, literatura szachowa, król, recenzje, szkolenie szachowe, ciekawostki, szach, wydarzenia szachowe, kultura, konkursy, kombinacje szachowe
Epizod 53 - maj 2014
szachy, partia, literatura szachowa, król, recenzje, szkolenie szachowe, ciekawostki, szach, wydarzenia szachowe, kultura, konkursy, kombinacje szachowe szachy, partia, literatura szachowa, król, recenzje, szkolenie szachowe, ciekawostki, szach, wydarzenia szachowe, kultura, konkursy, kombinacje szachowe szachy, partia, literatura szachowa, król, recenzje, szkolenie szachowe, ciekawostki, szach, wydarzenia szachowe, kultura, konkursy, kombinacje szachowe szachy, partia, literatura szachowa, król, recenzje, szkolenie szachowe, ciekawostki, szach, wydarzenia szachowe, kultura, konkursy, kombinacje szachowe szachy, partia, literatura szachowa, król, recenzje, szkolenie szachowe, ciekawostki, szach, wydarzenia szachowe, kultura, konkursy, kombinacje szachowe szachy, partia, literatura szachowa, król, recenzje, szkolenie szachowe, ciekawostki, szach, wydarzenia szachowe, kultura, konkursy, kombinacje szachowe
Epizod 54 - czerwiec 2014
szachy, partia, literatura szachowa, król, recenzje, szkolenie szachowe, ciekawostki, szach, wydarzenia szachowe, kultura, konkursy, kombinacje szachowe szachy, partia, literatura szachowa, król, recenzje, szkolenie szachowe, ciekawostki, szach, wydarzenia szachowe, kultura, konkursy, kombinacje szachowe szachy, partia, literatura szachowa, król, recenzje, szkolenie szachowe, ciekawostki, szach, wydarzenia szachowe, kultura, konkursy, kombinacje szachowe szachy, partia, literatura szachowa, król, recenzje, szkolenie szachowe, ciekawostki, szach, wydarzenia szachowe, kultura, konkursy, kombinacje szachowe szachy, partia, literatura szachowa, król, recenzje, szkolenie szachowe, ciekawostki, szach, wydarzenia szachowe, kultura, konkursy, kombinacje szachowe szachy, partia, literatura szachowa, król, recenzje, szkolenie szachowe, ciekawostki, szach, wydarzenia szachowe, kultura, konkursy, kombinacje szachowe
Epizod 55 - lipiec 2014
szachy, partia, literatura szachowa, król, recenzje, szkolenie szachowe, ciekawostki, szach, wydarzenia szachowe, kultura, konkursy, kombinacje szachowe szachy, partia, literatura szachowa, król, recenzje, szkolenie szachowe, ciekawostki, szach, wydarzenia szachowe, kultura, konkursy, kombinacje szachowe szachy, partia, literatura szachowa, król, recenzje, szkolenie szachowe, ciekawostki, szach, wydarzenia szachowe, kultura, konkursy, kombinacje szachowe szachy, partia, literatura szachowa, król, recenzje, szkolenie szachowe, ciekawostki, szach, wydarzenia szachowe, kultura, konkursy, kombinacje szachowe szachy, partia, literatura szachowa, król, recenzje, szkolenie szachowe, ciekawostki, szach, wydarzenia szachowe, kultura, konkursy, kombinacje szachowe szachy, partia, literatura szachowa, król, recenzje, szkolenie szachowe, ciekawostki, szach, wydarzenia szachowe, kultura, konkursy, kombinacje szachowe
Epizod 56 - sierpień 2014
szachy, partia, literatura szachowa, król, recenzje, szkolenie szachowe, ciekawostki, szach, wydarzenia szachowe, kultura, konkursy, kombinacje szachowe szachy, partia, literatura szachowa, król, recenzje, szkolenie szachowe, ciekawostki, szach, wydarzenia szachowe, kultura, konkursy, kombinacje szachowe szachy, partia, literatura szachowa, król, recenzje, szkolenie szachowe, ciekawostki, szach, wydarzenia szachowe, kultura, konkursy, kombinacje szachowe szachy, partia, literatura szachowa, król, recenzje, szkolenie szachowe, ciekawostki, szach, wydarzenia szachowe, kultura, konkursy, kombinacje szachowe szachy, partia, literatura szachowa, król, recenzje, szkolenie szachowe, ciekawostki, szach, wydarzenia szachowe, kultura, konkursy, kombinacje szachowe szachy, partia, literatura szachowa, król, recenzje, szkolenie szachowe, ciekawostki, szach, wydarzenia szachowe, kultura, konkursy, kombinacje szachowe
Epizod 57 - wrzesień 2014
szachy, partia, literatura szachowa, król, recenzje, szkolenie szachowe, ciekawostki, szach, wydarzenia szachowe, kultura, konkursy, kombinacje szachowe szachy, partia, literatura szachowa, król, recenzje, szkolenie szachowe, ciekawostki, szach, wydarzenia szachowe, kultura, konkursy, kombinacje szachowe szachy, partia, literatura szachowa, król, recenzje, szkolenie szachowe, ciekawostki, szach, wydarzenia szachowe, kultura, konkursy, kombinacje szachowe szachy, partia, literatura szachowa, król, recenzje, szkolenie szachowe, ciekawostki, szach, wydarzenia szachowe, kultura, konkursy, kombinacje szachowe szachy, partia, literatura szachowa, król, recenzje, szkolenie szachowe, ciekawostki, szach, wydarzenia szachowe, kultura, konkursy, kombinacje szachowe szachy, partia, literatura szachowa, król, recenzje, szkolenie szachowe, ciekawostki, szach, wydarzenia szachowe, kultura, konkursy, kombinacje szachowe
Epizod 58 - październik 2014
szachy, partia, literatura szachowa, król, recenzje, szkolenie szachowe, ciekawostki, szach, wydarzenia szachowe, kultura, konkursy, kombinacje szachowe szachy, partia, literatura szachowa, król, recenzje, szkolenie szachowe, ciekawostki, szach, wydarzenia szachowe, kultura, konkursy, kombinacje szachowe szachy, partia, literatura szachowa, król, recenzje, szkolenie szachowe, ciekawostki, szach, wydarzenia szachowe, kultura, konkursy, kombinacje szachowe szachy, partia, literatura szachowa, król, recenzje, szkolenie szachowe, ciekawostki, szach, wydarzenia szachowe, kultura, konkursy, kombinacje szachowe szachy, partia, literatura szachowa, król, recenzje, szkolenie szachowe, ciekawostki, szach, wydarzenia szachowe, kultura, konkursy, kombinacje szachowe szachy, partia, literatura szachowa, król, recenzje, szkolenie szachowe, ciekawostki, szach, wydarzenia szachowe, kultura, konkursy, kombinacje szachowe
Epizod 59 - listopad 2014
szachy, partia, literatura szachowa, król, recenzje, szkolenie szachowe, ciekawostki, szach, wydarzenia szachowe, kultura, konkursy, kombinacje szachowe szachy, partia, literatura szachowa, król, recenzje, szkolenie szachowe, ciekawostki, szach, wydarzenia szachowe, kultura, konkursy, kombinacje szachowe szachy, partia, literatura szachowa, król, recenzje, szkolenie szachowe, ciekawostki, szach, wydarzenia szachowe, kultura, konkursy, kombinacje szachowe szachy, partia, literatura szachowa, król, recenzje, szkolenie szachowe, ciekawostki, szach, wydarzenia szachowe, kultura, konkursy, kombinacje szachowe szachy, partia, literatura szachowa, król, recenzje, szkolenie szachowe, ciekawostki, szach, wydarzenia szachowe, kultura, konkursy, kombinacje szachowe szachy, partia, literatura szachowa, król, recenzje, szkolenie szachowe, ciekawostki, szach, wydarzenia szachowe, kultura, konkursy, kombinacje szachowe
Epizod 60 - grudzień 2014
szachy, partia, literatura szachowa, król, recenzje, szkolenie szachowe, ciekawostki, szach, wydarzenia szachowe, kultura, konkursy, kombinacje szachowe szachy, partia, literatura szachowa, król, recenzje, szkolenie szachowe, ciekawostki, szach, wydarzenia szachowe, kultura, konkursy, kombinacje szachowe szachy, partia, literatura szachowa, król, recenzje, szkolenie szachowe, ciekawostki, szach, wydarzenia szachowe, kultura, konkursy, kombinacje szachowe szachy, partia, literatura szachowa, król, recenzje, szkolenie szachowe, ciekawostki, szach, wydarzenia szachowe, kultura, konkursy, kombinacje szachowe szachy, partia, literatura szachowa, król, recenzje, szkolenie szachowe, ciekawostki, szach, wydarzenia szachowe, kultura, konkursy, kombinacje szachowe szachy, partia, literatura szachowa, król, recenzje, szkolenie szachowe, ciekawostki, szach, wydarzenia szachowe, kultura, konkursy, kombinacje szachowe
Epizod 61 - styczeń 2015
szachy, partia, literatura szachowa, król, recenzje, szkolenie szachowe, ciekawostki, szach, wydarzenia szachowe, kultura, konkursy, kombinacje szachowe szachy, partia, literatura szachowa, król, recenzje, szkolenie szachowe, ciekawostki, szach, wydarzenia szachowe, kultura, konkursy, kombinacje szachowe szachy, partia, literatura szachowa, król, recenzje, szkolenie szachowe, ciekawostki, szach, wydarzenia szachowe, kultura, konkursy, kombinacje szachowe szachy, partia, literatura szachowa, król, recenzje, szkolenie szachowe, ciekawostki, szach, wydarzenia szachowe, kultura, konkursy, kombinacje szachowe szachy, partia, literatura szachowa, król, recenzje, szkolenie szachowe, ciekawostki, szach, wydarzenia szachowe, kultura, konkursy, kombinacje szachowe szachy, partia, literatura szachowa, król, recenzje, szkolenie szachowe, ciekawostki, szach, wydarzenia szachowe, kultura, konkursy, kombinacje szachowe
Epizod 62 - luty 2015
szachy, partia, literatura szachowa, król, recenzje, szkolenie szachowe, ciekawostki, szach, wydarzenia szachowe, kultura, konkursy, kombinacje szachowe szachy, partia, literatura szachowa, król, recenzje, szkolenie szachowe, ciekawostki, szach, wydarzenia szachowe, kultura, konkursy, kombinacje szachowe szachy, partia, literatura szachowa, król, recenzje, szkolenie szachowe, ciekawostki, szach, wydarzenia szachowe, kultura, konkursy, kombinacje szachowe szachy, partia, literatura szachowa, król, recenzje, szkolenie szachowe, ciekawostki, szach, wydarzenia szachowe, kultura, konkursy, kombinacje szachowe szachy, partia, literatura szachowa, król, recenzje, szkolenie szachowe, ciekawostki, szach, wydarzenia szachowe, kultura, konkursy, kombinacje szachowe szachy, partia, literatura szachowa, król, recenzje, szkolenie szachowe, ciekawostki, szach, wydarzenia szachowe, kultura, konkursy, kombinacje szachowe
Epizod 63 - marzec 2015
szachy, partia, literatura szachowa, król, recenzje, szkolenie szachowe, ciekawostki, szach, wydarzenia szachowe, kultura, konkursy, kombinacje szachowe szachy, partia, literatura szachowa, król, recenzje, szkolenie szachowe, ciekawostki, szach, wydarzenia szachowe, kultura, konkursy, kombinacje szachowe szachy, partia, literatura szachowa, król, recenzje, szkolenie szachowe, ciekawostki, szach, wydarzenia szachowe, kultura, konkursy, kombinacje szachowe szachy, partia, literatura szachowa, król, recenzje, szkolenie szachowe, ciekawostki, szach, wydarzenia szachowe, kultura, konkursy, kombinacje szachowe szachy, partia, literatura szachowa, król, recenzje, szkolenie szachowe, ciekawostki, szach, wydarzenia szachowe, kultura, konkursy, kombinacje szachowe szachy, partia, literatura szachowa, król, recenzje, szkolenie szachowe, ciekawostki, szach, wydarzenia szachowe, kultura, konkursy, kombinacje szachowe
Epizod 64 - kwiecień 2015
szachy, partia, literatura szachowa, król, recenzje, szkolenie szachowe, ciekawostki, szach, wydarzenia szachowe, kultura, konkursy, kombinacje szachowe szachy, partia, literatura szachowa, król, recenzje, szkolenie szachowe, ciekawostki, szach, wydarzenia szachowe, kultura, konkursy, kombinacje szachowe szachy, partia, literatura szachowa, król, recenzje, szkolenie szachowe, ciekawostki, szach, wydarzenia szachowe, kultura, konkursy, kombinacje szachowe szachy, partia, literatura szachowa, król, recenzje, szkolenie szachowe, ciekawostki, szach, wydarzenia szachowe, kultura, konkursy, kombinacje szachowe szachy, partia, literatura szachowa, król, recenzje, szkolenie szachowe, ciekawostki, szach, wydarzenia szachowe, kultura, konkursy, kombinacje szachowe szachy, partia, literatura szachowa, król, recenzje, szkolenie szachowe, ciekawostki, szach, wydarzenia szachowe, kultura, konkursy, kombinacje szachowe
Epizod 65 - maj 2015
szachy, partia, literatura szachowa, król, recenzje, szkolenie szachowe, ciekawostki, szach, wydarzenia szachowe, kultura, konkursy, kombinacje szachowe szachy, partia, literatura szachowa, król, recenzje, szkolenie szachowe, ciekawostki, szach, wydarzenia szachowe, kultura, konkursy, kombinacje szachowe szachy, partia, literatura szachowa, król, recenzje, szkolenie szachowe, ciekawostki, szach, wydarzenia szachowe, kultura, konkursy, kombinacje szachowe szachy, partia, literatura szachowa, król, recenzje, szkolenie szachowe, ciekawostki, szach, wydarzenia szachowe, kultura, konkursy, kombinacje szachowe szachy, partia, literatura szachowa, król, recenzje, szkolenie szachowe, ciekawostki, szach, wydarzenia szachowe, kultura, konkursy, kombinacje szachowe szachy, partia, literatura szachowa, król, recenzje, szkolenie szachowe, ciekawostki, szach, wydarzenia szachowe, kultura, konkursy, kombinacje szachowe
Epizod 66 - czerwiec 2015
szachy, partia, literatura szachowa, król, recenzje, szkolenie szachowe, ciekawostki, szach, wydarzenia szachowe, kultura, konkursy, kombinacje szachowe szachy, partia, literatura szachowa, król, recenzje, szkolenie szachowe, ciekawostki, szach, wydarzenia szachowe, kultura, konkursy, kombinacje szachowe szachy, partia, literatura szachowa, król, recenzje, szkolenie szachowe, ciekawostki, szach, wydarzenia szachowe, kultura, konkursy, kombinacje szachowe szachy, partia, literatura szachowa, król, recenzje, szkolenie szachowe, ciekawostki, szach, wydarzenia szachowe, kultura, konkursy, kombinacje szachowe szachy, partia, literatura szachowa, król, recenzje, szkolenie szachowe, ciekawostki, szach, wydarzenia szachowe, kultura, konkursy, kombinacje szachowe szachy, partia, literatura szachowa, król, recenzje, szkolenie szachowe, ciekawostki, szach, wydarzenia szachowe, kultura, konkursy, kombinacje szachowe
Epizod 67 - lipiec 2015
szachy, partia, literatura szachowa, król, recenzje, szkolenie szachowe, ciekawostki, szach, wydarzenia szachowe, kultura, konkursy, kombinacje szachowe szachy, partia, literatura szachowa, król, recenzje, szkolenie szachowe, ciekawostki, szach, wydarzenia szachowe, kultura, konkursy, kombinacje szachowe szachy, partia, literatura szachowa, król, recenzje, szkolenie szachowe, ciekawostki, szach, wydarzenia szachowe, kultura, konkursy, kombinacje szachowe szachy, partia, literatura szachowa, król, recenzje, szkolenie szachowe, ciekawostki, szach, wydarzenia szachowe, kultura, konkursy, kombinacje szachowe szachy, partia, literatura szachowa, król, recenzje, szkolenie szachowe, ciekawostki, szach, wydarzenia szachowe, kultura, konkursy, kombinacje szachowe szachy, partia, literatura szachowa, król, recenzje, szkolenie szachowe, ciekawostki, szach, wydarzenia szachowe, kultura, konkursy, kombinacje szachowe
Epizod 68 - Sierpień 2015
szachy, partia, literatura szachowa, król, recenzje, szkolenie szachowe, ciekawostki, szach, wydarzenia szachowe, kultura, konkursy, kombinacje szachowe szachy, partia, literatura szachowa, król, recenzje, szkolenie szachowe, ciekawostki, szach, wydarzenia szachowe, kultura, konkursy, kombinacje szachowe szachy, partia, literatura szachowa, król, recenzje, szkolenie szachowe, ciekawostki, szach, wydarzenia szachowe, kultura, konkursy, kombinacje szachowe szachy, partia, literatura szachowa, król, recenzje, szkolenie szachowe, ciekawostki, szach, wydarzenia szachowe, kultura, konkursy, kombinacje szachowe szachy, partia, literatura szachowa, król, recenzje, szkolenie szachowe, ciekawostki, szach, wydarzenia szachowe, kultura, konkursy, kombinacje szachowe szachy, partia, literatura szachowa, król, recenzje, szkolenie szachowe, ciekawostki, szach, wydarzenia szachowe, kultura, konkursy, kombinacje szachowe
Epizod 69 - Wrzesień 2015
szachy, partia, literatura szachowa, król, recenzje, szkolenie szachowe, ciekawostki, szach, wydarzenia szachowe, kultura, konkursy, kombinacje szachowe szachy, partia, literatura szachowa, król, recenzje, szkolenie szachowe, ciekawostki, szach, wydarzenia szachowe, kultura, konkursy, kombinacje szachowe szachy, partia, literatura szachowa, król, recenzje, szkolenie szachowe, ciekawostki, szach, wydarzenia szachowe, kultura, konkursy, kombinacje szachowe szachy, partia, literatura szachowa, król, recenzje, szkolenie szachowe, ciekawostki, szach, wydarzenia szachowe, kultura, konkursy, kombinacje szachowe szachy, partia, literatura szachowa, król, recenzje, szkolenie szachowe, ciekawostki, szach, wydarzenia szachowe, kultura, konkursy, kombinacje szachowe szachy, partia, literatura szachowa, król, recenzje, szkolenie szachowe, ciekawostki, szach, wydarzenia szachowe, kultura, konkursy, kombinacje szachowe
Epizod 70 - Październik 2015
szachy, partia, literatura szachowa, król, recenzje, szkolenie szachowe, ciekawostki, szach, wydarzenia szachowe, kultura, konkursy, kombinacje szachowe szachy, partia, literatura szachowa, król, recenzje, szkolenie szachowe, ciekawostki, szach, wydarzenia szachowe, kultura, konkursy, kombinacje szachowe szachy, partia, literatura szachowa, król, recenzje, szkolenie szachowe, ciekawostki, szach, wydarzenia szachowe, kultura, konkursy, kombinacje szachowe szachy, partia, literatura szachowa, król, recenzje, szkolenie szachowe, ciekawostki, szach, wydarzenia szachowe, kultura, konkursy, kombinacje szachowe szachy, partia, literatura szachowa, król, recenzje, szkolenie szachowe, ciekawostki, szach, wydarzenia szachowe, kultura, konkursy, kombinacje szachowe szachy, partia, literatura szachowa, król, recenzje, szkolenie szachowe, ciekawostki, szach, wydarzenia szachowe, kultura, konkursy, kombinacje szachowe
Epizod 71 - Listopad 2015
szachy, partia, literatura szachowa, król, recenzje, szkolenie szachowe, ciekawostki, szach, wydarzenia szachowe, kultura, konkursy, kombinacje szachowe szachy, partia, literatura szachowa, król, recenzje, szkolenie szachowe, ciekawostki, szach, wydarzenia szachowe, kultura, konkursy, kombinacje szachowe szachy, partia, literatura szachowa, król, recenzje, szkolenie szachowe, ciekawostki, szach, wydarzenia szachowe, kultura, konkursy, kombinacje szachowe szachy, partia, literatura szachowa, król, recenzje, szkolenie szachowe, ciekawostki, szach, wydarzenia szachowe, kultura, konkursy, kombinacje szachowe szachy, partia, literatura szachowa, król, recenzje, szkolenie szachowe, ciekawostki, szach, wydarzenia szachowe, kultura, konkursy, kombinacje szachowe szachy, partia, literatura szachowa, król, recenzje, szkolenie szachowe, ciekawostki, szach, wydarzenia szachowe, kultura, konkursy, kombinacje szachowe
Epizod 72 - Grudzień 2015
szachy, partia, literatura szachowa, król, recenzje, szkolenie szachowe, ciekawostki, szach, wydarzenia szachowe, kultura, konkursy, kombinacje szachowe szachy, partia, literatura szachowa, król, recenzje, szkolenie szachowe, ciekawostki, szach, wydarzenia szachowe, kultura, konkursy, kombinacje szachowe szachy, partia, literatura szachowa, król, recenzje, szkolenie szachowe, ciekawostki, szach, wydarzenia szachowe, kultura, konkursy, kombinacje szachowe szachy, partia, literatura szachowa, król, recenzje, szkolenie szachowe, ciekawostki, szach, wydarzenia szachowe, kultura, konkursy, kombinacje szachowe szachy, partia, literatura szachowa, król, recenzje, szkolenie szachowe, ciekawostki, szach, wydarzenia szachowe, kultura, konkursy, kombinacje szachowe szachy, partia, literatura szachowa, król, recenzje, szkolenie szachowe, ciekawostki, szach, wydarzenia szachowe, kultura, konkursy, kombinacje szachowe
Epizod 73 - Styczeń 2016
szachy, partia, literatura szachowa, król, recenzje, szkolenie szachowe, ciekawostki, szach, wydarzenia szachowe, kultura, konkursy, kombinacje szachowe szachy, partia, literatura szachowa, król, recenzje, szkolenie szachowe, ciekawostki, szach, wydarzenia szachowe, kultura, konkursy, kombinacje szachowe szachy, partia, literatura szachowa, król, recenzje, szkolenie szachowe, ciekawostki, szach, wydarzenia szachowe, kultura, konkursy, kombinacje szachowe szachy, partia, literatura szachowa, król, recenzje, szkolenie szachowe, ciekawostki, szach, wydarzenia szachowe, kultura, konkursy, kombinacje szachowe szachy, partia, literatura szachowa, król, recenzje, szkolenie szachowe, ciekawostki, szach, wydarzenia szachowe, kultura, konkursy, kombinacje szachowe szachy, partia, literatura szachowa, król, recenzje, szkolenie szachowe, ciekawostki, szach, wydarzenia szachowe, kultura, konkursy, kombinacje szachowe
Epizod 74 - Luty 2016
szachy, partia, literatura szachowa, król, recenzje, szkolenie szachowe, ciekawostki, szach, wydarzenia szachowe, kultura, konkursy, kombinacje szachowe szachy, partia, literatura szachowa, król, recenzje, szkolenie szachowe, ciekawostki, szach, wydarzenia szachowe, kultura, konkursy, kombinacje szachowe szachy, partia, literatura szachowa, król, recenzje, szkolenie szachowe, ciekawostki, szach, wydarzenia szachowe, kultura, konkursy, kombinacje szachowe szachy, partia, literatura szachowa, król, recenzje, szkolenie szachowe, ciekawostki, szach, wydarzenia szachowe, kultura, konkursy, kombinacje szachowe szachy, partia, literatura szachowa, król, recenzje, szkolenie szachowe, ciekawostki, szach, wydarzenia szachowe, kultura, konkursy, kombinacje szachowe szachy, partia, literatura szachowa, król, recenzje, szkolenie szachowe, ciekawostki, szach, wydarzenia szachowe, kultura, konkursy, kombinacje szachowe


Caissa i szachy - szachownica, a na niej król, wieża, skoczek, goniec, pion i zadanie do wykonania czyli szach i mat, lecz wcześniej debiut, kombinacja i końcówka.